新鄉市鼎昌機械有限公司
手 機:18637371639
電 話:0373-5115688
傳 真:0373-5115688
郵 箱:xxsdcjx@163.com
地 址:新鄉市新原路孟姜女橋南路西
乘車路線:從火車站乘坐33路到廠門口下車即到

CPPC氣箱脈沖布袋除塵器
產品分類: 除塵工程
應用范圍:
CPPC氣箱脈沖布袋除塵器簡介: CPPC氣箱脈沖布袋除塵器構造和工作原理: CPPC氣箱脈沖布袋除塵器由殼體(一般5mm的碳鋼板焊接而成)、支架和脈沖...
全國咨詢熱線: 18637371639
CPPC氣箱脈沖布袋除塵器簡介:
CPPC氣箱脈沖布袋除塵器構造和工作原理:
CPPC氣箱脈沖布袋除塵器由殼體(一般5mm的碳鋼板焊接而成)、支架和脈沖清灰系統、灰斗、排灰裝置等部件組成。當含塵氣體從進風口進入PPC氣箱脈沖布袋除塵器后,**先碰到進風口中間的斜隔板,氣流便轉向流入灰斗,同時氣流速度變慢,由于慣性作用,使氣體中粗顆粒粉塵直接落入灰斗,起到預收塵的作用,進入灰斗的氣流后折而向上通過內部裝有金屬除塵骨架的除塵布袋,粉塵被捕集在濾袋的外表面,凈化后的氣體進入除塵布袋室上部的清潔室,匯集到出風管而排出。排出的凈空氣完全達到**要求的排放標準,過濾效率達99.99%,CPPC氣箱脈沖布袋除塵器是目前國內除塵效率**高的除塵設備。
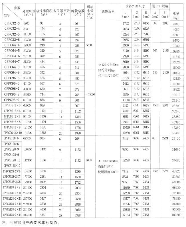
CPPC氣箱脈沖布袋除塵器產品共有33種規格,每室的袋有32、64、96、128袋四種,除塵布袋長度有2450mm和3060mm兩種,收塵效率可達99.9%以上,凈化后氣體的含塵濃度小于100mg/m3(標)本系列收塵器如用于寒冷地區,當室外采暖計算溫度≤-25℃時,要設熱裝置。
CPPC氣箱脈沖布袋除塵器一般是在負壓下進行工作,但也可在正壓下工作,結構無須改變。
CPPC氣箱脈沖布袋除塵器對濾袋停風及噴吹的時間,分室之間的間隔時間,清灰周期由程控儀進行控制,各時間均為可調。
CPPC型氣箱式脈沖布袋除塵器的特點是:
CPPC型氣箱式脈沖布袋除塵器采用分室輪流進行清灰,即所謂離線清灰。當某一室進行噴吹清灰時,過濾氣流被切斷,避免了噴吹清灰產生粉塵二次飛揚。所以PPC型氣箱式脈沖布袋除塵器能捕集含塵濃度高達1000g/m3的氣體。本系列產品可廣泛用于水泥廠的破碎安裝、庫頂、熟冷卻機和和磨機等收塵系統。






